
@NZComCom’s petrol pricing report is an ode to the structure-conduct-performance (SCP) paradigm of decades and decades gone by
21 Aug 2019 Leave a comment
in Armen Alchian, economics of bureaucracy, history of economic thought, industrial organisation, law and economics, politics - New Zealand, Public Choice, Ronald Coase Tags: competition law

Armen Alchian and Kenneth Arrow on labour market shortages or when the nouveau riche priced the old rich out of household servants
27 Jul 2019 Leave a comment
in applied price theory, Armen Alchian, labour economics, labour supply
From https://www.rand.org/pubs/research_memoranda/RM2190.html
An Economic Analysis of the Market for Scientists and Engineers by Armen Albert Alchian, Kenneth Arrow, William M. Capron
Friedrich Hayek and James Buchanan: Pattern Prediction and Scientism
16 Jun 2019 Leave a comment
in Armen Alchian, Austrian economics, F.A. Hayek, history of economic thought Tags: philosophy of science
Friedrich von Hayek and Armen Alchian Part I
11 Oct 2017 Leave a comment
in Armen Alchian, F.A. Hayek Tags: Armen Alchain
Alchian and Allen on the superfluousness of economic principles to civilisation
13 Aug 2016 Leave a comment
in applied price theory, Armen Alchian, comparative institutional analysis, constitutional political economy, development economics, economic history, industrial organisation, international economics Tags: industrial revolution, The Great Enrichment, The Great Escape, The Great Fact
The marvel of the market: the remarkable foresight of young adults in choosing what to study
16 Jan 2015 1 Comment
in Alfred Marshall, Armen Alchian, economics of education, George Stigler, human capital, job search and matching, labour economics, occupational choice, politics - New Zealand, rentseeking Tags: 2nd laws of supply and demand, Alfred Marshall, Armen Alchian, george stigler, search and matching, skills shortgaes
Known but yet to be exploited opportunities for profit do not last long in competitive markets, including hitherto unnoticed opportunities for the greater utilisation and development of skills and experience (Hakes and Sauer 2006, 2007; Ryoo and Rosen 2004; and Kirzner 1992). Moneyball is the classic example of entrepreneurial alertness to hitherto unexploited job skills which were quickly adopted by competing firms (Hakes and Sauer 2006, 2007).
There is considerable evidence that the demand and supply of human capital responds to wage changes. For example, over- or under-supplied human capital moves either in or out in response to changes in wages until the returns from education and training even out with time (Ryoo and Rosen 2004; Arcidiacono, Hotz and Kang 2012; Ehrenberg 2004).
As evidence of this equalisation of returns on human capital investments across labour markets, the returns to post-school investments in human capital are similar – 9 to 10 percent – across alternative occupations, and in occupations requiring low and high levels of training, low and high aptitude and for workers with more and less education (Freeman and Hirsch 2001, 2008). There is evidence that workers with similar skills in similarly attractive jobs, occupation and locations earn similar pay (Hirsch 2008; Vermeulen and Ommeren 2009; Rupert and Wasmer 2012; Roback 1982, 1988).
Ryoo and Rosen (2004) found that the labour supply and university enrolment decisions of engineers is “remarkably sensitive” to career earnings prospects. Graduates are the main source of new engineers. Engineers who moved out into other occupations such as management did not often moved back to work again as professional engineers. Ryoo and Rosen (2004) observed when summarising their work that:
Both the wage elasticity of demand for engineers and the elasticity of supply of engineering students to economic prospects are large. The concordance of entry into engineering schools with relative lifetime earnings in the profession is astonishing.
Ryoo and Rosen (2004) found several periods of surplus in the market for engineers. These periods of shortage or surplus corresponded to unexpected demand shocks in the market for engineers such as the end of the Cold War.
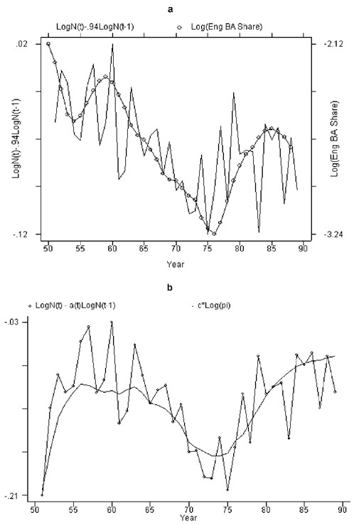
Figure 1: New entry flow of engineers: a, actual vs. imputed from changes in stock of engineers; b, time-varying coefficients.

Source: Ryoo and Rosen (2004)
Ryoo and Rosen (2004) noted that importance of permanent versus transitory changes in earnings. Transitory rises and falls in earnings prospects have much less influence on occupational choices and the educational investments of students.
In light of these findings that the supply of engineers rapidly adapted to changing market conditions, Ryoo and Rosen (2004) questioned whether public policy makers have better information on future labour market conditions than labour market participants do. When politicians get worked up about skill shortages, the markets for scientists and engineers often where they make extravagant claims about the ability of the market to adapt to changing conditions because of the long training pipeline involved in university study, including at the graduate level.
There can be unexpected shifts in the supply or demand for particular skills, training or qualifications. These imbalances even themselves out once people have time to learn, update their expectations and adapt to the new market conditions (Rosen 1992; Ryoo and Rosen 2004; Bettinger 2010; Zafar 2011; Arcidiacono, Hotz and Kang 2012; Webbink and Hartog 2004).
For example, Arcidiacono, Hotz and Kang (2012) found that both expected earnings and students’ abilities in the different majors are important determinants of student’s choice of a college major, and 7.5% of students would switch majors if they made no forecast errors.
The wage premium for a tertiary degree was low and stable in New Zealand in the 1990s (Hylsop and Maré 2009) and 2000s (OECD 2013). This stability in the returns to education suggests that supply has tended to kept up with the demand for skills at least over the longer term at the national level. There were no spikes and crafts that would be the evidence of a lack of foresight among teenagers in choosing what to study.
All in all, the remarkable sensitivity of engineers to a career earnings prospects, the frequent changes of college majors by university students in response to changing economic opportunities, and the stability of the returns on human capital over time suggest that the market for human capital is well functioning.
The argument that the market was not working well was assumed rather than proven. Likewise, the case for additional subsidies for science, technology, engineering and mathematics because of perceived skill shortages has not been made out. There is a large literature showing that the market for professional education works well.
The onus is on those who advocate intervention to come up with hard evidence, rather than innate pessimism about markets that are poorly understood because of a lack of attempts to understand it. Studies dating back to the 1950s by George Stigler and by Armen Alchian found that the market for scientists and engineers works well and the evidence of shortages were more presumed than real.
Alchian and Allen on the role of mathematics in the education of an economic student
18 Oct 2014 Leave a comment

“Trapped” in Rental Contracts | Organizations and Markets
17 Aug 2014 Leave a comment
in applied price theory, Armen Alchian, comparative institutional analysis, entrepreneurship, industrial organisation, Ronald Coase, survivor principle, theory of the firm Tags: long-term contracts, mutual dependency, relationship dependent assets, transaction costs, vertical integration

- Mercedes and BMW drivers trapped in lease contracts, rather than buying their cars with cash or credit
- Individuals trapped in wage and salary contracts, rather than raising the capital, arranging the inputs, and bearing the uncertainties to be sole proprietors
- Companies trapped in outsourcing agreements, rather than owning all upstream and downstream production processes directly, as vertically integrated firms
- Vacationers trapped in resort hotels, rather than owning their own vacation condos or timeshares
- Readers trapped by downloading and reading books on their Kindles, essentially “renting” them from Amazon, rather than buying physical books
- Movie fans trapped in DVD rental agreements with Netflix, rather than owning massive DVD libraries
via “Trapped” in Rental Contracts | Organizations and Markets.




Recent Comments