
Must admire Mossad’s tradecraft. Get so close to closely guarded officials in a tightly controlled hostile country.
05 Dec 2020 Leave a comment
in defence economics, laws of war, war and peace Tags: nuclear proliferation

Intelligence Failures | Nuclear Proliferation Explained
16 Oct 2020 Leave a comment
in defence economics, war and peace Tags: nuclear proliferation
Panel 2: Thomas Schelling at the Cutting the Fuse Conference (3b of 3)
23 Apr 2020 Leave a comment
in defence economics, laws of war, war and peace Tags: Atomic bomb, nuclear proliferation, war against terror
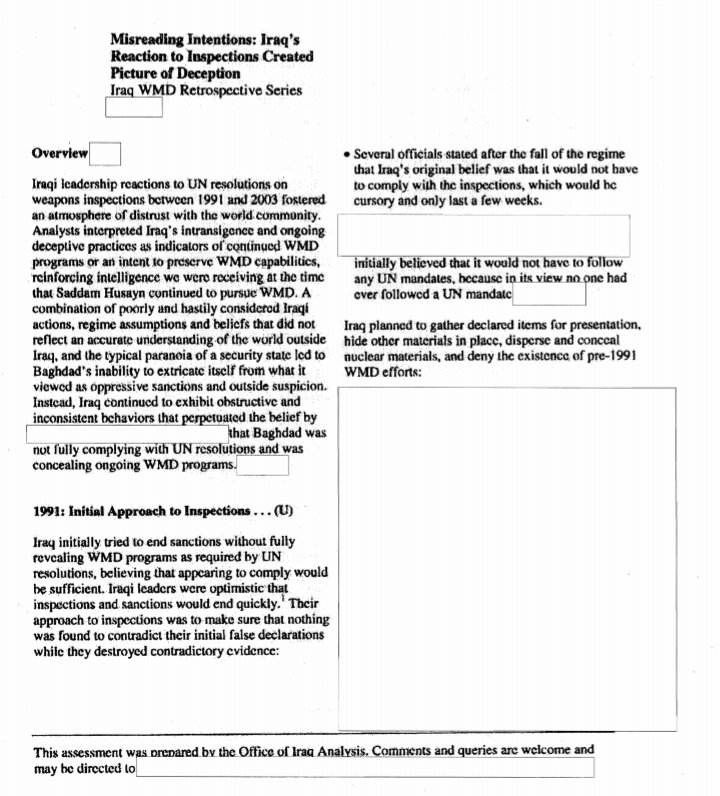
In the first of many miscalculations, Saddam expected the weapons inspections to be cursory and short lived
02 Feb 2019 Leave a comment
in defence economics, International law, law and economics, war and peace Tags: arms control, Gulf war, Iraq, nuclear proliferation, nuclear weapons

Thomas C. Schelling on nuclear proliferation, nuclear terrorism and Cuban missile crisis myths
12 Dec 2018 Leave a comment
in defence economics, politics - USA, Public Choice Tags: Atomic weapons, Cuban missile crisis, Israel, nuclear proliferation, war against terror
Nuclear proliferation in the Middle East
28 Nov 2016 Leave a comment
in defence economics Tags: Middle-East politics, nuclear proliferation
Obama, Iran, Tom Schelling and the Bomb
22 Mar 2014 1 Comment
in Public Choice, Thomas Schelling, war and peace Tags: Dr Strangelove, Iran's nuclear weapons, nuclear proliferation, Obama and Iran, Stanley Kubrick
If Obama was interested in peace, he should pay more attention to the writings of Thomas Schelling.
Schelling said that he did not know of any way to stop the Iranians from acquiring nuclear weapons and it is therefore important to have sophisticated enemies.
- It took the U.S. 15 years after World War II to think seriously about the security of its nuclear weapons.
- Before that, U.S. nuclear weapons did not even have combination locks, let alone complex electronic security codes!
- Now, most nuclear weapons will not detonate even if given the right codes unless they are at their designated targets.
The Soviet Union always had civilian officials in charge of nuclear weapons, and never let an aircraft carrying these weapons out of Soviet airspace. China has a separate army unit for this purpose too.
What are the safeguards against theft, sabotage or unauthorised use, and how will the Iranian weapons be protected? Iran must learn from this. Schelling’s and Herman Kahn’s writings in the early 1960s on nuclear wars starting through accidents and misunderstandings led them to work with Kubrick on the script of Dr. Stangelove.

The ayatollahs do not want their own nation wiped off the map. They know that Israel has enough nuclear weapons and delivery systems to destroy Iran in retaliation for any attack. This would deter them.
The government of Iran is repulsive, but it has never given evidence that it is suicidal. In all likelihood, rhetoric about wiping Israel off the map is ideological blather.
Any government in Tehran would have to realise that an attack on America would be a regime-extinguishing event. Such an attack would be suicide, both politically and literally.
The United States managed to deter some unpleasant and unpredictable people, including Stalin and Mao Zedong, from using nuclear weapons during the Cold War despite the USA’s own best efforts to provoke them from time to time. Israel and Iran may have noticed the success of that strategy too.
The USSR and China also played the ‘I am a crazy ideological zealot’ card too. Remember Mao and Khrushchev.
- China became a nuclear power under Mao Zedong, a leader who exceeded even Stalin’s record of genocide. Mao’s publicly enunciated views on nuclear warfare were also alarming in the extreme.
- China also emerged as a nuclear power on the eve of the Cultural Revolution. China, during that orgy of fanaticism, makes today’s Iran look like a normal, even sedate, country.
The Iranian mullahs take full political advantage of appearing to be mad and unpredictable. Iran’s leaders have nonetheless exhibited remarkably well timed moments of prudence and pragmatism. They have even fully reversed course when confronted with defeat such as when they started to really lose their war with Iraq.
Iran could always go for nuclear latency: the condition of a country possessing the technology to quickly build nuclear weapons without having actually yet done so. This avoids the costs and risks by refraining from exercising the overt nuclear capability option.
Because such latent capability is not proscribed by the Nuclear Non-Proliferation Treaty, a work-around of the treaty is sometimes called the “Japan Option”. Japan is a clear case of a big advanced country with the complete technical prowess and nuclear materials to develop a nuclear weapon quickly.
A country does not test weapons nor declare its latent nuclear potential. Yet just keep the resources for a latent nuclear potential on hand for a crash programme.
Schelling defined diplomacy as being based on having some control over something that the other country wants. There must be something each has to bargain over.
No communications should be sent to Iran; there should be no informal dialogues. Wait for Iran to come to you because you have something they want. Only then will it become serious in striking a bargain.
Recent Comments